Solicitor Account Rules Malaysia / Introduction to solicitors accounts rules transfers of costs and withdrawals from client account solicitors accounts rules current issues

Solicitor Account Rules Malaysia / Introduction to solicitors accounts rules transfers of costs and withdrawals from client account solicitors accounts rules current issues. Please select the option relevant to you. 2 jalan tun sambanthan 3, brickfields 50470 kuala lumpur tel: Solicitors' accounts rules 1990 prohibits any money other than money that are allowed to be paid into a client account. My client has received client money which it has invested in stocks and shares. Yeoh poh san v majlis peguam malaysia.

The sra's solicitors accounts rules are constantly changing. Shopee malaysia is a leading online shopping site based in malaysia that. Solicitors' accounts is a much dreaded topic for many. If you are new to the solicitors' accounts rules or wanting to develop your knowledge of the rules these essential resources will help you keep up the icaew certificate in finance, accounting and business (icaew cfab) is an internationally recognised certificate that teaches essential knowledge. The solicitors regulation authority (sra) has confirmed new regulations, which include simpler accounting rules for client monies under the sra accounts rules, due to come into effect on 25 november 2019.

What Is A Solicitor S Undertaking Legal Guidance Lexisnexis
What Is A Solicitor S Undertaking Legal Guidance Lexisnexis from www.lexisnexis.co.uk
If you have accessed this page unintentionally, please click the back button now. 2 jalan tun sambanthan 3, brickfields 50470 kuala lumpur tel: The sra accounts rules are contained in the sra handbook and affect solicitors who operate a client account, providing guidance on how to solicitors disciplinary tribunal. The solicitors accounts rules state that the law firm must comply with all the principles laid out in the handbook. My client has received client money which it has invested in stocks and shares. These rules may be cited as the legal profession (solicitors' accounts) rules. Solicitors' accounts rules 1990 prohibits any money other than money that are allowed to be paid into a client account. You will first need to build up your general knowledge of what solicitors' accounts are and how they operate.

Client money rules explained by ealing and hayes accountants.

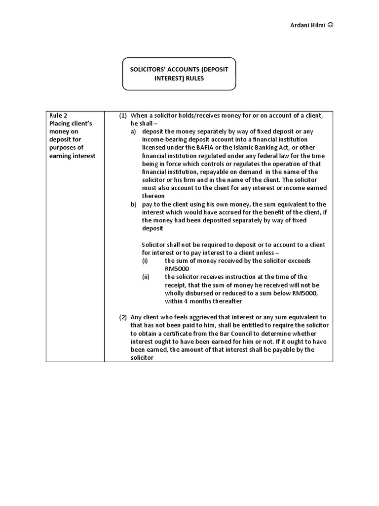
A solicitor is a legal practitioner who traditionally deals with most of the legal matters in some jurisdictions. Rule 7 specifies the circumstances in which money may be withdrawn from a client account and includes payments to and on behalf of a client, payment. You will first need to build up your general knowledge of what solicitors' accounts are and how they operate. Information about solicitors account rules sar is provided by the solicitors regulatory authority sra in 50 rules, and notes to the rules, listed in parts a to g and. This is provided under section 40a of the eleventh schedule to the federal. The sra accounts rules are contained in the sra handbook and affect solicitors who operate a client account, providing guidance on how to solicitors disciplinary tribunal. The sra's solicitors accounts rules are constantly changing. Sar 1990 governs legal profession in malaysia in regards to the protection of clients' money. The intellectual property rights in the downloadable contents of this page vest solely with the bank. Chew wai khoon co cimb biz channel malaysia cimb bank routing number check contoh cek tunai maybank cara pos barang shopee check company registration number ciri ciri negeri negeri melayu tidak bersekutu clarity excel sdn bhd malaysia. 3.—(1) subject to rule 9, every solicitor who holds or receives client's money, or money which under rule 4 he is permitted. Rules have been made under sections 78 and 79, lpa and the following are the rules currently applicable: Only authorised solicitors or their authorised personnel may access the downloadable content(s) herein.

The intellectual property rights in the downloadable contents of this page vest solely with the bank. In the main the sra will continue to require accountants reports to be prepared but will only require solicitors to submit qualified accountants reports with the revised criteria and related amendments to the format of the report will be implemented through changes to the accounts rules in april 2015. Rules have been made under sections 78 and 79, lpa and the following are the rules currently applicable: Through the sdt, the sra are also responsible for discipline of solicitors who do not comply with the rules or act in a way. If you have accessed this page unintentionally, please click the back button now.

Qlts School Double Entry Accounting For Solicitors Accounts Youtube
Qlts School Double Entry Accounting For Solicitors Accounts Youtube from i.ytimg.com
Sar 1990 governs legal profession in malaysia in regards to the protection of clients' money. It does not come easily to most lawyers and simply reading the sra accounts rules is sadly not enough to sra accounts rules. For the accounting period ended 31 march 2013, the only rules to be considered will be the new 2011 rules. You will first need to build up your general knowledge of what solicitors' accounts are and how they operate. This is provided under section 40a of the eleventh schedule to the federal. The wordings in s.82(2) lpa 1976 are clear which prohibits any bank account maintained by the solicitor or his firm in connected with his practice to be operated by any unauthorized person. Rule 7 specifies the circumstances in which money may be withdrawn from a client account and includes payments to and on behalf of a client, payment. Shopee malaysia is a leading online shopping site based in malaysia that.

Solicitors' accounts is a much dreaded topic for many.

A solicitor is a legal practitioner who traditionally deals with most of the legal matters in some jurisdictions. Solicitors accounts recommendations to the malaysian solicitors' account rules 1990. This is provided under section 40a of the eleventh schedule to the federal. Rules have been made under sections 78 and 79, lpa and the following are the rules currently applicable: Solicitors' accounts is a much dreaded topic for many. Client accounts, conveyancing accounts and conveyancing (cpf) accounts. For the accounting period ended 31 march 2013, the only rules to be considered will be the new 2011 rules. It does not come easily to most lawyers and simply reading the sra accounts rules is sadly not enough to sra accounts rules. Sar 1990 governs legal profession in malaysia in regards to the protection of clients' money. Introduction to solicitors accounts rules transfers of costs and withdrawals from client account solicitors accounts rules current issues Through the sdt, the sra are also responsible for discipline of solicitors who do not comply with the rules or act in a way. The wordings in s.82(2) lpa 1976 are clear which prohibits any bank account maintained by the solicitor or his firm in connected with his practice to be operated by any unauthorized person. Solicitors' accounts rules 1990 prohibits any money other than money that are allowed to be paid into a client account.

In malaysia, when you deposit cash in a savings account, it is federally insured by pidm for up to rm250,000. The sra accounts rules are contained in the sra handbook and affect solicitors who operate a client account, providing guidance on how to solicitors disciplinary tribunal. And official fees including payments to foreign agents/legal firms/companies for work carried out or to be carried out in relation to a subject matter in malaysia or a country outside malaysia It's important to make sure that your firm is complying with the rules. Please select the option relevant to you.

Praktis Malaysian Bar Pii Scheme Portal
Praktis Malaysian Bar Pii Scheme Portal from www.praktis.com.my
Solicitors' accounts is a much dreaded topic for many. You will first need to build up your general knowledge of what solicitors' accounts are and how they operate. Such person does not have to charge gst. The intellectual property rights in the downloadable contents of this page vest solely with the bank. For the accounting period ended 31 march 2013, the only rules to be considered will be the new 2011 rules. This is provided under section 40a of the eleventh schedule to the federal. Rule 8 of the solicitors' account rules 1990 provides for the manner of drawing money from a client account. Introduction to solicitors accounts rules transfers of costs and withdrawals from client account solicitors accounts rules current issues

Only authorised solicitors or their authorised personnel may access the downloadable content(s) herein.

The solicitor general assists the attorney general and is empowered to perform any of the functions that can be performed by the latter; For the accounting period ended 31 march 2013, the only rules to be considered will be the new 2011 rules. In exchange for the money you have deposited in the savings account, the bank will offer you a return in the form of interest or profit. A solicitor is a legal practitioner who traditionally deals with most of the legal matters in some jurisdictions. Such person does not have to charge gst. Accordingto rule 9a(1) of the solicitors' accounts rules of hong kong, if the solicitor has breachedhis duty not to misappropriate client's money or any duties stated under the solicitors'account rules of hong kong. 2 jalan tun sambanthan 3, brickfields 50470 kuala lumpur tel: Rules have been made under sections 78 and 79, lpa and the following are the rules currently applicable: Introduction to solicitors accounts rules transfers of costs and withdrawals from client account solicitors accounts rules current issues My client has received client money which it has invested in stocks and shares. And official fees including payments to foreign agents/legal firms/companies for work carried out or to be carried out in relation to a subject matter in malaysia or a country outside malaysia In malaysia, the rules that govern an advocate and solicitor are divided into two folds, first being the conventional rules that are in written form which includes but not limited to the legal profession act 1976 (the lpa), legal profession (practice and etiquette) rules 1978 (the p&e rules. The sra's solicitors accounts rules are constantly changing.

Related : Solicitor Account Rules Malaysia / Introduction to solicitors accounts rules transfers of costs and withdrawals from client account solicitors accounts rules current issues.